Operacions combinades amb fraccions
Escriviu al costat de cadascuna de les expressions que trobareu a continuació la solució que li correspon de la llista següent.
Hi ha solucions proposades que no corresponen a cap expressió.
-
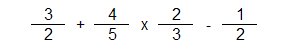
| Expressió: | Solució:
|
 | |
-
| Expressió: | Solució:
|
 | |
-
| Expressió: | Solució:
|
 | |
-
| Expressió: | Solució:
|
 | |
-
| Expressió: | Solució:
|
 | |
-
| Expressió: | Solució:
|
 | |
-
| Expressió: | Solució:
|
 | |
-
| Expressió: | Solució:
|
 | |
-
| Expressió: | Solució: |
| |
-
| Expressió: | Solució:
|
 | |