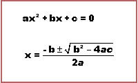
Per obtenir les solucions d'una equació de segon grau hem de fer servir la següent fórmula:


Com pots comprendre una part molt important és saber buscar correctament els valors d'a, b, c.

Prem el botó i veuràs com s'obtenen:



  1. Aquí tens una sèrie d'equacions, al costat posa el valor que correspon a: a, b i c. Recorda que si davant de x² no hi ha cap número, a = 1:
    x² - 5x + 2 = 0  ;  a =   ,  b =   ,  c =
    -x² - 7x - 2 = 0  ;  a =   ,  b =   ,  c =
    x² + 2 x  = 0     ;  a =   ,  b =   ,   c =
    6 - 3x² = 0          ;  a =   ,  b =   ,   c=
    2x² - 2x +3=0      ;  a =   ,  b =   ,  c =
  2. Oberva l'equació de segon grau que tens més endavant , determina els valors d' a, b i c :

     3 - x = x2

    a = -1 , b = 1 , c =-3 a = 1 , b = 1 , c =-3 a = 1 , b = -1 , c =3 a = -1 , b = -1 , c =-3

  3. Posa els valors dels coeficients al seu lloc, deixant la x² sempre a l'esquerra: