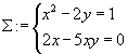
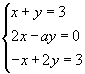
1. 1. Siguin els sistemes ,  i . Aleshores,
    a) no és un sistema lineal
    b) és un sistema lineal
    c) és un sistema lineal
    d) Cap dels tres sistemes és lineal
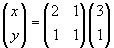
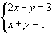
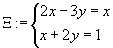
  2. 2. Sigui el sistema . Aleshores,
    a) és solució del sistema
    b) és solució del sistema
    c) és solució del sistema
    d) Cap de les anteriors és solució del sistema
  3. 3. Sabem que la solució d’un sistema compatible indeterminat és   amb . Aleshores,

    a) és una solució del sistema
    b) és una solució del sistema
    c) és una solució del sistema
    d) Ens cal conèixer el sistema per comprovar si les afirmacions anteriors són certes o falses
  4. 4. Assenyala l’afirmació correcta:
    a) Els sistemes incompatibles poden tenir solució
    b) Els sistemes compatibles indeterminats no tenen solució única
    c) Els sistemes compatibles no poden tenir solució única
    d) Els sistemes incompatibles indeterminats tenen infinites solucions
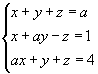
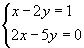
  5. 5. El sistema

    a) Representa dues rectes del pla que són paral•leles
    b) És incompatible
    c) No és compatible determinat
    d) Representa dues rectes del pla que es tallen en un únic punt
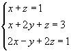
  6. 6. El sistema   
    a) És incompatible
    b) És compatible determinat
    c) Representa tres plans que es tallen en una recta
    d) Té infinites solucions
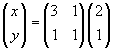
  7. 7. Sigui el sistema . La seva solució ve donada per:

    a)
    b)
    c)
    d)
  8. 8. Sabem que el sistema  és de Cramer. Aleshores,
    a)
    b)
    c) No té solució
    d) No existeix , però el sistema podria ser compatible
  9. 9. Dos sistemes són equivalents quan:
    a) Tenen el mateix nombre d’equacions
    b) Tenen el mateix nombre d’incògnites
    c) Tenen solució
    d) Tenen les mateixes solucions
  10. 10. Indica quina de les següents transformacions no manté necessàriament l’equivalència entre sistemes:
    a) Afegir una nova equació obtinguda com a combinació lineal de les equacions inicials
    b) Restar a una equació una combinació lineal de les altres
    c) Multiplicar una equació per un nombre diferent de zero
    d) Substituir una equació per una combinació lineal de les altres equacions
  11.  

    11.  i  són les matrius ampliades de dos sistemes d’equacions. Aleshores,

    a) Els sistemes són equivalents
    b) El sistema associat a és incompatible
    c) Els sistemes no són equivalents
    d) Cap de les afirmacions anteriors és certa
  12. 12. Tenim un sistema amb n incògnites i tal que . Aleshores,

    a) No podem afirmar res sense conèixer el sistema
    b) És compatible determinat
    c) És compatible indeterminat
    d) És incompatible
  13. 13. Sigui  la matriu de coeficients d’un sistema de  incògnites, i sigui  la corresponent matriu ampliada. Aleshores,
    a) Si el sistema és incompatible
    b) Si el sistema és compatible
    c) Si el sistema és incompatible
    d) Si el sistema és compatible determinat
  14. 14. Els sistemes amb més incògnites que equacions:
    a) No poden ser compatibles determinats
    b) No poden ser compatibles indeterminats
    c) No poden ser incompatibles
    d) Cap de les respostes anteriors és certa
  15. 15. La matriu de coeficients d’un sistema és  . Aleshores,

    a) És compatible determinat
    b) És compatible indeterminat
    c) És incompatible
    d) No pot ser compatible determinat
  16. 16. Sigui el sistema . Aleshores,

    a)
    b)
    c)
    d) És incompatible
  17. 17. La solució del sistema  és:
    a) És incompatible, no té solució
    b)
    c)
    d)
  18. 18. Sigui el sistema . La solució és:

    a) És incompatible
    b)
    c)
    d)
  19. 19. Un sistema amb tots els termes independents nuls:
    a) Pot ser incompatible
    b) No pot ser compatible indeterminat
    c) Sempre és compatible
    d) No pot ser compatible determinat
  20. 20. Sigui  . Indica quina de les següents afirmacions és FALSA:
    a) És homogeni
    b) És compatible
    c) n’és solució
    d) No és compatible determinat
  21. 21. La matriu de coeficients d’un sistema és . Aleshores,
    a) Si o , el sistema és incompatible
    b) Si la solució és un punt del pla
    c) Si la solució és una recta del pla
    d) Si i el sistema és compatible determinat
  22. 22. Sigui el sistema amb matriu ampliada . Aleshores,
    a) Si el sistema és compatible determinat
    b) Si el sistema és incompatible
    c) Si i el sistema és compatible determinat
    d) Si el sistema és compatible indeterminat
  23. 23. Sigui el sistema .
    a) Si i la matriu de coeficients del sistema és invertible
    b) Si el sistema és compatible indeterminat.
    c) Si el sistema és compatible
    d) Si el sistema és incompatible
  24. 24. Considereu el sistema .
    a) És incompatible
    b) Si és compatible determinat
    c) n’és solució
    d) Si és compatible indeterminat
  25. 25. Sigui .
    b) Si el sistema és compatible determinat
    b) Si el sistema és compatible indeterminat
    d) Si el sistema és compatible
    d) Si el sistema és incompatible